.
.

Acessibilidade

Aumentar Fonte
.
Diminuir Fonte
.
Fonte Normal
.
Alto Contraste
.
Libras
.
Vlibras

O conteúdo desse portal pode ser acessível em Libras usando o VLibras

Mapa do Site
.
Acesso à informação
.

De segunda à sexta das 9:00 às 16:00 horas

Idioma

Português

Português

English

Español

Français

Deutsch

Italiano

Assistência Social - Quinta-feira, 10 de Agosto de 2023

Buscar Notícia

Notícias por Categoria

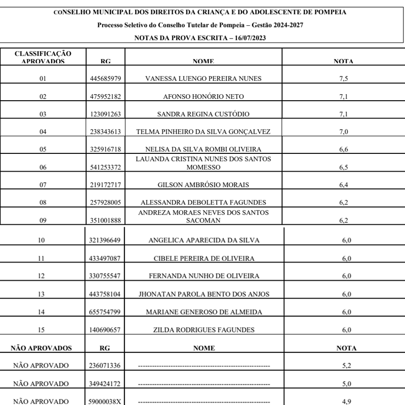
CMDCA anuncia o resultado da prova escrita do Conselho Tutelar

Nesta fase, 15 pessoas foram aprovadas e iniciam a campanha para votação na eleição que acontece em outubro


CMDCA anuncia o resultado da prova escrita do Conselho Tutelar

O Conselho Municipal dos Direitos da Criança e Adolescente anuncia o resultado da prova escrita do processo seletivo para a gestão 2024-2027 para o Conselho Tutelar de Pompeia. 

Nesta fase, 15 pessoas foram aprovadas e iniciam a campanha, após o período de apresentação dos recursos, para votação na eleição que acontece em outubro. Sendo que os 5 mais votados serão os conselheiros com mandato de de 4 anos (10 de janeiro de 2024 a 9 de janeiro de 2028).

Confira o resultado da prova escrita e os classificados.
 

Primeira Publicação: Os candidatos terão 2 (dois) dias, a partir desta publicação no jornal que aconteceu em 9 de agosto, para apresentação de recursos à comissão especial responsável pelo processo de escolha do Conselho Tutelar.



 

2183 Visualizações

Notícias relacionadas

Voltar para a listagem de notícias

.
.

Calendário de eventos

.
.

Acompanhe-nos

.
.

Prefeitura de Pompeia - SP.
Usamos cookies para melhorar a sua navegação. Ao continuar você concorda com nossa Políticas de cookies e Termos e condições gerais de uso.